在校生
教职工
校友
考生
招聘
融合门户
WebVPN
站点地图
工程黄页
English
压球手机在线官网概况
压球手机在线官网简介
压球手机在线官网章程
历史沿革
压球手机在线官网大事
历任领导
领导机构
现任领导
机构设置
压球手机在线官网标识
校园风光
师生风采
校内地图
教育教学
本专科生教育
研究生教育
继续教育
网络教学平台
压球(中国)
科学研究
科学研究处
科研机构
学术信息
师资队伍
国家级专家
省级专家
市级专家
省级名师
校级名师
长白山技能名师
学生工作
思政在线
处长信箱
合作交流
国际交流
社会合作
招生就业
本科招生
硕士研究生
继续教育招生
就业信息网
国际学生招生
思政建设
理论学习
工作动态
经验交流
人才招聘
招聘信息
人事处
文献信息
图书馆
档案馆
网站首页
>
通知公告
> 正文
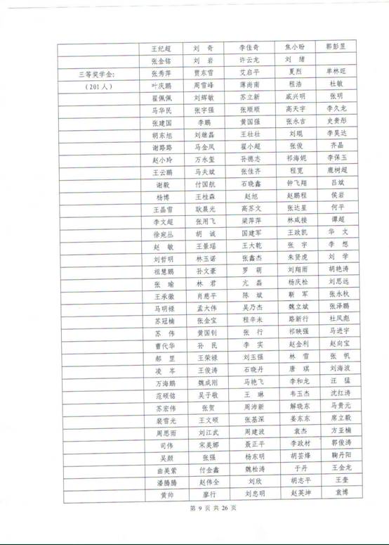
压球手机在线官网2011-2012学年在校学生评优结果公示
文章来源: 作者: 发布日期:2012年10月24日
上一条:
压球(中国)网络维护的紧急通知
下一条:
压球(中国)报送2013年因公出国(境)计划和出国培训项目申请的通知
相关文章
读取内容中,请等待...
信息分享
沙巴竞技体育丨中国有限公司官网
|
OD在线体育网
|
爱游戏 (aiyouxi)官方网站
|
kaiyun开云网页版
|
爱体育官方端网站登录入口
|
ky体育(中国)官方网站
|
J9在线平台
|
MK.COM
|
九游体育平台官方网站
|